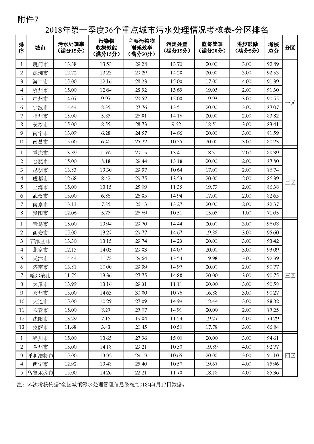
2018Äê4Ô£¬×¡·¿ºÍ³ÇÏ罨É貿ÒÀ¾Ý¡¶³ÇÕòÎÛË®´¦ÀíÊÂÇ鿼ºËÔÝÐв½·¥¡·£¨½¨³Ç¡¾2017¡¿143ºÅ£©Ðû²¼ÁË2018ÄêµÚÒ»¼¾¶ÈÈ«¹ú³ÇÕòÎÛË®´¦ÀíÇé¿ö¿¼ºË½á¹û¡£
ÏÃÃÅÊУ¨ÒÔÏÃÃÅË®ÎñÎÛË®¹«Ë¾µÄËùÊôµÄÎÛË®´¦Àí³§µÄÊý¾ÝÉ걨²ÎÆÀ£©¿¼ºË×ܵ÷Ö92.89·Ö¡£Æ¾¾ÝÄê½µÓêÁ¿µÄ²î±ð£¬×¡½¨²¿½«36¸öÖØµã¶¼»á·ÖΪËĸöÇø£¬ÆäÖÐÔÚÄê½µÓêÁ¿≥1500mmµÄ10¸öÒ»Çø¶¼»á£¨ÄÏ·½¶¼»á£©ÖУ¬ÏÃÃÅÊÐÅÅÃûµÚ1£¬ÉîÛÚÊС¢º£¿ÚÊС¢º¼ÖÝÊС¢¹ãÖÝÊС¢Äþ²¨ÊС¢¸£ÖÝÊС¢³¤É³ÊС¢ÄÏÄþÊС¢ÄϲýÊл®·ÖλÁеÚ2-10Ãû¡£ÕâÊÇÏÃÃÅÊмÌ2017ÄêÉϰëÄ꿼ºËÖ®ºó£¬ÔÙ´ÎÔÚÈ«¹ú36¸öÖØµãÄÏ·½¶¼»áÖжá¹Ú¡£ÔÚÈ«¹ú36¸öÖØµã¶¼»áÅÅÃûµÚ6£¬Ç°1¡«5Ãû¶¼»áÊÇ£¬ÇൺÊС¢Î÷°²ÊС¢Òø´¨ÊС¢Ê¯¼ÒׯÊкͱ±¾©ÊС£









